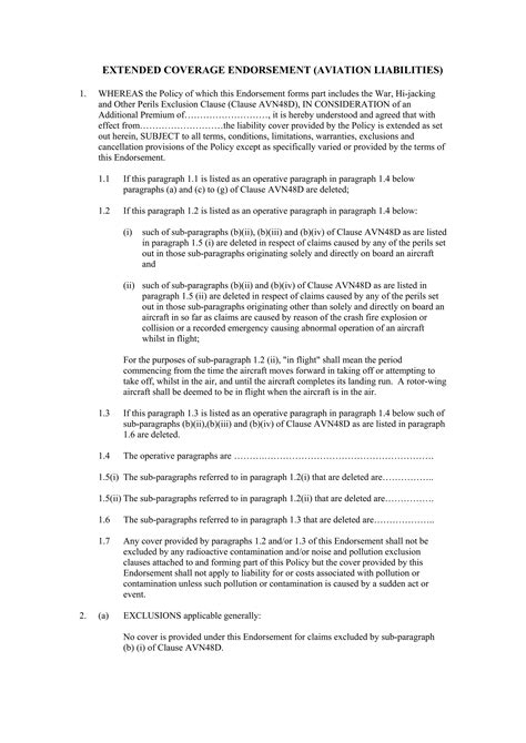
what is an extended coverage endorsement
what is an extended coverage endorsement. There are some references to what is an extended coverage endorsement in this article. If you are looking for what is an extended coverage endorsement you've came to the right place. We have posts about what is an extended coverage endorsement. You can check it out below.
Showing posts matching the search for what is an extended coverage endorsementBlog Archive
-
▼
2023
(87)
-
▼
May
(42)
- Censure For Govt Employees
- Motion De Censure Vème République
- Isabelle Boulay Site Officiel
- De Courson De La Villeneuve
- Immobilier France Pas Cher
- Je Te Promets Film Tf1
- Immobilier Paris Historique Prix
- Vote D'une Motion De Censure
- Fusillade Bar Du Telephone Marseille
- Info Direct Assemblée Nationale
- Vote Motion De Censure Nupes
- Prix Immobilier Paris Hausse
- Isabelle Boulay Quand Reviendras-tu
- Immobilier Paris Saint-germain Des Pres
- Assemblée Nationale Qui A Vote Quoi
- Vote Motion De Censure Assemblée Nationale
- Isabelle Boulay Un Ange Par Ci
- Isabelle Boulay Vole Colombe
- Isabelle Boulay Depuis Le Premier Jour
- Domaine De Courson Tarif
- Immobilier Saint Germain En Laye
- Immobilier De France Boulogne Sur Mer
- Replay Tf1 Je Te Promets Episode 2
- Château De Courson Prix
- Elisabeth Borne Parti Politique
- Regarder Assemblée Nationale Direct
- Elisabeth Borne Wiki English
- Censure Under Ccs Rules
- Isabelle Boulay Et Son Conjoint
- Immobilier France Guerre Ukraine
- Fusillade Marseille Prado Carenage
- Elisabeth Borne A T Elle Un Mari
- Motion De Censure Terme Juridique
- Prix Immobilier Paris Xi
- Leggett Immobilier France Herault
- Motion De Censure Detail Du Vote
- Assemblée Nationale Du Bénin
- Immobilier Paris Trop Cher
- Chateau De Courson France
- Fusillade L2 Marseille Aujourd'hui
- Vote Motion De Censure 6 Juillet 2022
- Censure Motion Meaning In Tamil
-
▼
May
(42)
Total Pageviews
Search This Blog
Powered by Blogger.
Menu Halaman Statis
About Me
© 2022 - Micro USB f - Kian.top
